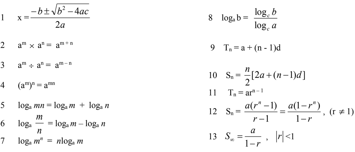
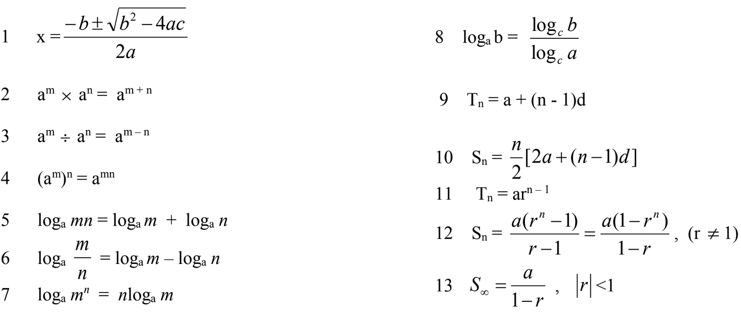
SPM season wouldn’t be complete without Add Math leaving students traumatised and 2025 is no exception.
This year’s paper didn’t just “test understanding”; it reportedly sent some candidates home in tears, sparking the same nationwide conversation Malaysians have every year: Is Add Math actually useful, or are we all just suffering for nothing?
But one viral tweet took that familiar debate to a whole new level, igniting a heated discussion among students, parents, teachers and even law undergraduates.
M’sian claims Add Math is “a waste of time” for students not doing Math-based courses
The debate took off after a user named Fendi (@fendithehunk) tweeted that Add Math is unnecessary for students who plan to pursue fields that don’t require heavy calculations, such as law.
He wrote:
“Add maths is a waste of time subject if you’re continuing your studies in fields that don’t require maths (for example, law).
If you already plan to take law, just drop Add Math in Form 4. No need to show off, no one cares.”
He added that many students end up spending more time and money on tuition simply to keep up with the subject.
“Add Math literally improves your IQ”
However, many Malaysians felt Fendi’s take oversimplified the purpose of Add Math.

One user, argued that the subject helps shape a person’s thinking:
“Like it or not add math literally improves your IQ as a person. Go to uni and you realise how different a student that takes add math with the one that didn’t.”
Law students especially clapped back, saying critical thinking is a foundational skill in their field and Add Math helps develop it.
“As a law student, I disagree. Mathematics trained our brain to think critically. You would not want to have a lawyer that can’t think critically.”
Another law student said:
“This is the most absurd comment ever. Maths and Add Maths is an essential brain-developing subject that helps students see the logic in studying law. I know, I study law.”
“It builds logic & problem-solving skills,” others add

A number of X users emphasised Add Math’s long-term benefits beyond school exams.
“Add Math trains your brain in critical thinking, logical reasoning, and problem-solving.”
A reminder from a teacher also resurfaced:
“Imagine you’re among 10 job candidates… when competing with two people who have critical thinking backgrounds and you don’t, who do you think the company will hire?”
“Learning is never a waste”
Not everyone views Add Math through the lens of exam grades.
“Even if you are 99% sure you will fail, remember that you’ll never fail to learn. Tuition is optional. It’s about knowledge, not good-looking results.”
Some still agree: “it depends on your path”
Despite the strong pushback, a portion of Malaysians agreed that Add Math shouldn’t be forced onto students whose future paths do not require it.
“I failed my add math, but your point is valid. you have to assess your own ability whether you can handle the subject.”
For this group, mastering basic Math addition, subtraction, multiplication, division and fractions is sufficient for non-science and non-finance careers.

